技术中心???Support
联系我们???Contact

TPX太赫兹透镜聚焦光束能力分析

2018-10-23 16:17:52??????点击:

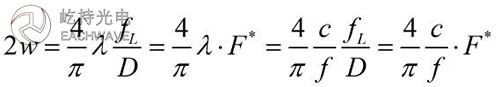
1, 太赫兹光束束腰直径2w的计算

假设我们要分析的太赫兹光束为高斯型光束,那么我们就可以用通过下面公式来计算一块透镜对太赫兹光束聚焦后的束腰直径:

(1)........其中 

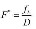
公式(1)中fL是太赫兹透镜的焦距,D是太赫兹透镜的直径或者太赫兹光束光斑直径。除此之外THz波长 λ 或者频率 f , 光圈数F*决定着光束聚焦直径. c 是光在真空中的速度。


图(1)利用公式(1)计算出的太赫兹焦斑尺寸和频率的依赖关系图

2,实验测试,测试系统为一台太赫兹时域光谱仪系统

图(2)实验光路

聚焦TPX透镜参数: 焦距fL=10mm; 

                           光束空间直径D=20mm

                           透镜中心厚度:10mm

                           孔径角:~40°

准直的太赫兹光束直径:20mm ——> F*=fL/D=0.5

铝片小孔测试孔直径:0.35 mm, 0.5 mm, 0.6 mm, 0.8 mm, 1.0 mm, 1.5 mm, 2.0 mm

3,透过率测试通过不同小孔直径( F*=0.5

太赫兹时域光谱仪系统中的脉冲THz是一个宽谱的太赫兹光束,这种情况下小孔将会起到高通滤波器的作用。

图(3)通过小孔(0.35mm,0.5mm)后的太赫兹时域脉冲振幅变化

图(4)透过不同直径小孔后的太赫兹光谱

4,分析与结论

图(4)中测试谱的截止频率与公式(1)计算出来的曲线符合


要实现计算结果与衍射极限聚焦直径一致,则需要满足下面两个条件

        a)  消除球面相差影响 ——> 使用非球面TPX透镜

        b)  聚焦透镜和小孔要尽可能的精确的对准 ——> 使用XYZ三维移精密动台


——>  使用非球面太赫兹透镜,在光圈数F*=0.5的情况下。将0.1-3THz宽谱太赫兹光束聚焦后可以实现300um的空间分辨率。


更多太赫兹聚焦产品——>太赫兹透镜

>> 非球面TPX透镜 非球面太赫兹透镜

>> 高阻硅追透镜

>> TPX透镜 太赫兹透镜 高阻硅透镜


上海九游会j9官方网站光电技术有限公司

电话:021-62209657   021-54843093     传真:021-54843093
邮箱:sales@eachwave.com                    网站:www.eachwave.com
QQ:2920058626                                 微信:jesse-xue