一种具有极高亮度的太赫兹光束聚焦效果
引言:光源的亮度决定了它对科学中非线性现象的适用性。明亮的低频太赫兹(<5 THz)辐射局限于衍射限制的光斑尺寸是一个障碍,因为太赫兹(<5 THz)脉冲的带宽和波长很长,而且缺乏太赫兹波前校正器。在这里,我们使用一个现代技术系统,我们采用了一个带有聚焦优化的波前操作概念,从而在物理极限下对太赫兹能量进行时空限制,使其达到波长立方的最小的三维出射体积。我们的方案依赖于找到泵浦波前曲率和产生后光束发散的最佳设置。这导致了极其明亮的PW m-2级THz辐射,峰值场高达8.3GV m-1和27.7 T,远远超过任何其他系统。所提出的结果预期将有很大的影响对于非线性太赫兹在不同科学学科的应用。
亮度定义了光源通过驱动物质脱离平衡状态与物质进行非线性相互作用的能力。定性地说,亮度揭示了在给定频率下按P/λ2以实心角度集中的功率,其中P和λ为总功率和波长。瑞利标准定义了一个光源亮度的基本极限,因为它将最小可达到的光斑大小与给定的λ相关联,称为衍射极限。为了在实验上接近这一极限,需要一个良好的光源光束质量和精心设计的光束成像光学器件。在激光物理学中,质量因子M2通常用来描述理想衍射限制情况下单色辐射的光束质量下降的程度。在近红外波段,即使是成熟的激光技术,也很难实现高质量的超远波段辐射束(M2≈1)。
在太赫兹频率(0.1 – 10 THz)下,光束质量和亮度是几个特殊的障碍。首先,太赫兹产生效率和产生的脉冲能量较低。第二,对于太赫兹而言,高亮度的辐射从本质上来说比短波长的辐射更难达到。例如,对于给定的功率,1太赫兹的单周期激光脉冲的最大亮度比利用1/λ2依赖性的典型近红外频率(300 THz)的等效亮度低5个数量级。最后,多倍频程跨太赫兹脉冲的光束成像和聚焦比其他波长范围的光束成像和聚焦要差一些。
最近,强THz源向≈0.1GVm-1场强度的发展使得首次观测到非线性轻物质相互作用、绝缘体-金属过渡的感应和DNA损伤的原因。然而,从超快域切换到粒子加速,THz的大量应用需要亮度的巨大飞跃来匹配理论预测的几个GVm-1量级的场强需求。强太赫兹辐射主要是由电子加速器和激光系统产生的。虽然前者在强度方面处于领先地位,但激光器的可用性和多功能性在时间分辨的太赫兹高场科学中占主导地位。最突出的强太赫兹脉冲技术,利用飞秒激光脉冲放大,是基于激光驱动离子加速运动,空气等离子体的出射和无机材料光学整流(例如, LiNbO3)和有机非线性晶体(例如, OH1, DAST,DSTMS)。到目前为止,这些系统的峰值场均被限制在0.12-0.5GVm-1。此前也报道了由差频产生的峰值电场为10.8GVm-1。然而,在这种强度下,载频为30 THz,这超出了通常与太赫兹频率有关的范围(0.1-10 THz)。基于紧凑的激光的LiNbO3 THz源提供了目前最大的脉冲能量(125 μJ),但它要一个具有复杂的脉冲前倾斜的非共线泵浦配置来实现相位匹配。使用LiNbO3所报告的最大磁场仅在较低的脉冲能量(3 μJ)下被证明。通过这种非共线抽运方案,这是太赫兹光束质量缩短的直接结果,使得有限衍射聚焦成为一个难题。当共线泵浦的太赫兹脉冲前缘未被开启时,期望从共线泵浦的太赫兹方案中得到更亮的辐射,期望其强度分布与泵浦的分布相似。
在这份文章中,使用传统和共线太赫兹生成方案适用的基于光学整流,高效有机晶体DSTMS、OH1,我们提出一个概念基于泵浦脉冲散度控制的太赫兹波前和影像工程达到的终极限制的太赫兹脉冲λ3体积。这一过程伴随着太赫兹强度的显著上升。我们观察到光束在这个所谓的λ立方区域中传播,从而显著地改变了焦点中沿传播轴的时间和光谱特性。
对于我们的THz光源,我们使用一个脉冲持续时间为65 fs的光学参量放大器(OPA)系统,在1.5μm和1.35 μm波长下泵浦小型有机晶体DSTMS和OH1(详见方法)。在该方案中,在THz发射有机晶体位置泵浦通量保持恒定,采用全反射式望远镜组件调整泵浦光束的球面波前曲率。有机晶体极好地适合于太赫兹为他们提供相位匹配太赫兹在1-5 THz范围(没有无机晶体被证明高效的),一个非常高的二阶非线性光学敏感性和240 pmV-1和高损伤阈值(见方法部分更多的细节)。
图1
结果
太赫兹表征
虽然有效的太赫兹能量提取有机晶体曾被报道过,目前工作的推进是引入一个有效方案提高太赫兹波前和梁剖面控制和改进的太赫兹光束传输的多倍频程跨越太赫兹辐射,相差补偿的来源来自于源和太赫兹成像光学。图1a,b显示了光泵和在DSTMS晶体后产生的THz的空间轮廓。泵浦的空间分布直接反映在发射的太赫兹中。我们的单晶THz源模拟了几种不规则形状和大小的发射器。这是典型不规则薄有机晶体和光泵强非均匀性的直接结果(图1a,请注意,非均匀的强度分布是高能OPAs的相当典型)。空间泵浦不规则性在太赫兹空间分布中更为明显,这是因为太赫兹强度随泵浦强度的平方而变化,如图1b所示。目前,还没有现成的太赫兹波前校正器,也没有直接测量太赫兹波前的方法。在优化方案中,我们利用了在一阶中波前和散度是相关的这一事实。从产生晶体在一定距离z,波前的曲率半径是由z[1+(ω/(θz))2), ω和θ分别是光斑大小和散度,而高斯光束发散度是由θ= λ/πω定义的,λ是波长。虽然点源太赫兹发射极呈现出球形波前(即强发散),但大面积发射极提供接近平面的波前(弱发散)。理想情况下,为了最紧密的聚焦,一个目标是平面的,频率无关的太赫兹波前正好在最终聚焦镜上。然而,由于泵浦强度的不规则分布和局部晶体的均匀性,这里研究的太赫兹源模拟了几个发射区的叠加,体现了具有不同散度的非均匀强度分布和光束传播特性。如图1b所示,在有机晶体后,太赫兹光束强度的变化类似于不同尺寸、形状和散度的模的传播,这导致在传播过程中,太赫兹光束的分布发生变化。在远离源的地方,较小的发射点的高频不规则性被较大的散度冲刷掉,从而形成更有规则的强度形状。上述定性图片是通过测量不同大小发射区的太赫兹的散度来支持的(ω0=0.35、1.05和1.75毫米) ,在中心频率为2THz的情况下,计算出的散度与根据泵斑尺寸计算出的散度有很好的一致性。然而,由于散度角取决于给定光斑大小的太赫兹频率,散度的光谱依赖性给净强度剖面增加了额外的变化。由于这些复杂的光束特性,完美聚焦于所有频率(即超过7个倍频程)发射的λ立方体积通过我们的源需要一个迭代优化程序的散度和源位置以及优化最终聚焦阶段。有关长波长太赫兹频率和多倍频程跨越频率内容构成了额外的障碍,因为大孔径光学是必需的。因此,在所有频率下限制这样的太赫兹束的太赫兹能量是一个巨大的挑战。
波前校正和聚焦
原则上,一个平面波前可以通过放置聚焦光学远离发射器来实现。然而,这将导致有限聚焦光学上的太赫兹能量的显著损失,并伴随着空间滤波引起的像差。因此,我们采用上文讨论的散度控制波前处理方法,直接对发射体的太赫兹波前进行校正。如图1d所示,光泵波前弯曲导致产生的太赫兹波前弯曲。对于特定的频率和单发射光斑大小,有一个最佳的弯曲值来补偿发射的太赫兹光束的自然散度,从而在聚焦系统的输入处形成准直的太赫兹光束。该方法与THz光束的快速扩展相结合,以消除高频强度调制。我们使用低f数光学(使用1:4望远镜,基于100和200直径的离轴抛物面镜)来减少不可避免的像差在未校正的光谱成分。然而,由于超宽的光谱和在光源处存在多个不同散度的发射源,只能通过实验找到最佳可实现焦点尺寸的折衷方案。
为了达到λ3出射,系统地调整了泵浦光的波前曲率和太赫兹产生平面(晶体位置),以优化太赫兹峰场和光斑尺寸。这种令人惊讶的简单方法是用来达到物理极限的太赫兹聚焦后,几次迭代,这导致了极大的增加的太赫兹亮度和强度。为了证明我们的方法的先进性,我们比较了优化系统之前(图1e)和之后(图1f)的太赫兹光斑大小。光斑的大小是之前使用非lambda立方聚焦方案的四倍。值得一提的是,泵浦波前校正不仅补偿了THz光束的散度,还补偿了后续聚焦系统的低阶波前像差。
图2 (a)由DSTMS(蓝色)和OH1(红色并随时间变化)产生的太赫兹脉冲的时间剖面。黑色曲线显示了使用3 THz低通滤波器去除高频调制后对应的OH1时间剖面。绿色曲线显示了无探针孔聚焦镜估计的太赫兹分布。两种晶体的峰值场分别达到8.3GVm-1 (27.7 T)和6.2GVm-1 (20.7 T)
输出脉冲特性
通过空气偏置相干探测(ABCD)获取焦腰中产生的脉冲的时间轨迹,如图2a所示。峰值场分别为8.3GVm-1 (27.7 T)和6.2GVm-1 (20.7 T)。通过测量太赫兹脉冲能量、光斑大小和电场的时间演化,以模型无关的方式获得了绝对电场强度。在这里提出的lambda立方的情况下,我们观察到测量的单周载流子振荡速度比之前报道的相同的DSTMS(具有相似的泵浦脉冲持续时间和晶体厚度)更快。此外,我们在OH1的时间轨迹中观察到高频振幅调制。这些观测结果是在衍射极限下,束腰高频THz分量占光束质量改善和聚焦紧密主导地位的方案。如我们在方法部分所示,即使使用电光采样(EOS)检测也可以观察到这些高频特征。图2b给出了THz发射在0.1到12 THz之间的光谱振幅。关于光谱特征的更多细节在方法部分给出。我们使用非制冷的热释电阵列探测器(NEC公司,23.5 μm像素大小)测量了THz光斑大小(图2c,d)。优化波前和聚焦后,与DSTMS和OH1相比,1/e2处的平均半径距离分别为70和59 μm。当我们使用一个带孔的离轴镜(通过探头光束)时,光斑尺寸略大(93,和70μm),如图2e,f所示。考虑到这些晶体的光谱,所测得的光斑尺寸非常小。由于波前控制,使用相同的晶体DSTMS和相似的输入束尺寸,THz光斑的尺寸比之前报告的(300 μm)小了四倍多。这种紧密聚焦使太赫兹峰值强度提高了一个数量级以上。

图3
围绕焦点的时差和光谱调制
在lambda立方聚焦中,当瑞利长度最小化时,THz的时间和光谱形状预计将在腰部迅速改变。在图3a和b中,我们分别展示了DSTMS和OH1在聚焦位置(z=z0)周围传播(z)方向重建的THz时间剖面的时域图。说明了π穿过(z-z0) >>|zR|的古依相移,zR为瑞利长度。图3c,d为|z|>0在(z-z0)={-4,0,4} mm处的场时差演化和场强的快速衰减。腰部的光谱演变(图3e-h)显示,当我们接近焦点位置时,中心频率向更高频率强烈移动。这是λ3聚焦方案的直接结果,其中光斑大小ω0对THz波长的线性依赖性非常明显,因为低频率的λ3体积更大。这些结果对比了最近关于太赫兹聚焦于(松散的)非-λ3条件的报告。在后一种情况下,实验发现在焦点周围的光谱变得更宽,而中心没有移动。
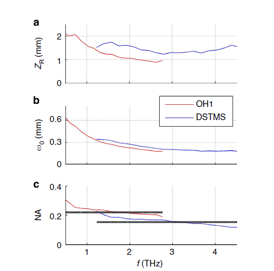
图4
光束质量和衍射限制聚焦
评价光束质量参数M2需要围绕焦点的三维光束轮廓。由于太赫兹辐射覆盖了几个倍频程,频谱被添加为第四维。我们用EOS探测方法对光束沿焦点的传播方向进行了时域光谱分析。然后,我们通过相应的轴向光束强度的降低来评估zR(图4a)。由此,我们得到光斑大小(图4b)和有效数值孔径(NA;图4 c)。该技术不考虑探测器的影响,采用高度对称的高斯光束。在我们的例子中,它高估了zR,因为整体的大探头尺寸几乎是沿着扫描光束腰平行的。我们实验估计的有效NA与假设一个高质量的衍射限制(M2=1)束计算的NA相比对。良好的匹配表明,我们的光束有M2≈1,但与频率有轻微的关系,这是由最小但不可避免的散度以及光泵浦和产生晶体的缺陷造成的。
图 5 光斑尺寸和场强度表征:对于不同的截止频率{2,3,6,9,18}THz (a) DSTMS (b) OH1 (2,3,6,9,18} THz),聚焦处的归一化THz点显示出来。(c)在不同的截止频率下,从a和b中提取的THz光斑尺寸为全宽-半最大值。红色和蓝色分别为DSTMS和OH1。点和交叉标记表示x和y方向。DSTMS(红色)和OH1(蓝色)对应的能量。(e) THz峰电场。(f)测得的峰通量和峰强度。在e中,绿色星号表示的估计场时,聚焦镜没有探针孔被使用。除此之外,所有的测量都是用一个带洞的聚焦镜进行的。
讨论
在lambda立方聚焦方案中,聚焦体积强烈依赖于THz频率。图5说明了聚焦强度的这个lambda立方依赖性。采用一组低通滤波器(LPFs)来测量光斑尺寸随频率的变化。正如预期的那样,对于较高的太赫兹组分,光斑尺寸会单调地减小。这是紧密聚焦的结果,高频分量的强度显著上升,而低频分量对整体成像光斑大小的贡献占主导地位。虽然这两种晶体在辐射<2 THz方面表现出相似的趋势,但其随频率的变化有很大的不同(图5a,b)。在DSTMS情况下,ω0在3和6 THz的分界线处显著下降,然后进行简单的更改,以进一步增加截止频率。这意味着大部分能量集中在低频(图5c),这与图2所示的ABCD测量值一致。相比之下,OH1的能量分布更为广泛,特别是在6-9THz范围内。我们使用校准过的高莱盒(在我们的光谱范围内几乎具有频率无关的响应)测量了相应的能量。图5d很好地说明了上述预测的能量随频率的增加速率。在泵浦能量为3.8mJ和3.5mJ的情况下,DSTMS的总能量为109 μJ,OH1的总能量为76μJ(无空镜损耗)。转换效率分别为2.86%和2.14%。由于ABCD探测所需的孔洞尺寸较大,所以在多孔镜上的能量损失约为30%。
我们测量了DSTMS和OH1的峰值电场分别为5.4GVm-1 (17.8 T)和4.4GVm-1(14.7 T)(图4e)。这些数值是在小孔径有机晶体中得到的,而在大孔径DSTMS中得到的数值是0.5GVm-1。图4e为使用不同截止频率的LPF所得到的峰值场。高频元件对应于短脉冲持续时间,在我们的案例中,也对应于小的光斑尺寸。这进而导致了更高的场强(图5e)。我们估计DSTMS和OH1的峰通量和强度分别为 {552,610}mJ cm-2和{38,26}PWm-2(图5f)。最后,给出的结果考虑了整个光谱范围高达18 THz。然而,从DSTMS大部分的能量集中在1-5 THz,我们认为这是这项工作最重要的部分。在小于5 THz范围内,利用DSTMS获得了高峰场(3.4GVm-1, 11.4 T)、峰通量(260 mJcm-2)和峰强度(15.7PWm-2),是迄今为止在整个太赫兹波段报道的最高值。如果我们考虑到使用空镜(非共线探针实验所需要的)造成的损失,DSTMS的峰值场为8.3GVm-1 (27.7 T),峰值强度为110PWm-2。在这里记录的极端峰值场,甚至连太赫兹诱导电离和损伤也可能发生。将这种强度与场增强结构相结合,将导致强度的又一次巨大飞跃。
综上所述,我们已经实验地提出了一种使用低频超宽带太赫兹脉冲的λ3太赫兹出射。我们的结果可能是第一次在整个电磁频谱中演示这样一个系统。这种方法使我们能够达到迄今为止最强烈的低频太赫兹脉冲,频率在1-5太赫兹(DSTMS)和18太赫兹(OH1)之间。我们的工作引入了一种基于泵浦波前散度控制的概念,并结合改进的成像方案,在基于小规模有机晶体的共线泵浦方案中显著提高太赫兹光束质量和太赫兹亮度。该方法的特强太赫兹辐射为110PWm-2,场强为8.3GVm-1和27.7 T。这种紧凑的特强太赫兹源具有如此高的亮度,将为非线性特强太赫兹在广泛科学领域的应用开辟新的途径。
研究方法
太赫兹产生系统我们的THz源由100-Hz钛蓝宝石驱动的三级OPA系统组成,脉冲持续时间在65±5 fs左右。该源用于泵送1.5 μm的小型有机晶体用于DSTMS(厚度440 μm,直径6 mm)和1.35 μm的OH1(厚度480 mm,直径10 mm)。总的OPA转换效率为~39%。考虑到光束的传输损耗,在这两种不同波长下,泵浦能量分别为3.8mJ和3.5mJ,这里的测量是在最大能量下进行的。晶体上泵浦光束的光斑尺寸为1/e2尺寸分别为3.8和4.1 mm,对应~23 mJ cm-2的峰值通量,这接近晶体伤害阈值。晶体的切割和取向被选择为最大的THz产生。
图6 聚焦优化装置,图上用红色标出了优化的三个阶段。
图6显示了一个太赫兹装置与优化三个主要阶段的示意图:(i)泵波前控制阶段反射望远镜用于弯曲泵浦脉冲波阵面通过调整两个望远镜镜子之间的间距,(2)太赫兹产生的太赫兹发射面(晶体位置)调整优化的第一阶段聚焦和(iii)使用抛物面镜快速扩束。快速扩束有助于最小化产生的光束中自然散度的影响,从而更好地控制太赫兹波前。由此产生的近平面波前光束通过直径为2英寸、焦点距离2英寸的离轴抛物面镜聚焦在探测器上。为了减弱太赫兹光束,我们使用了一组400微米厚的硅晶片(每个晶片的振幅透射率几乎与频率无关,为70%)。为了阻挡产生晶体后的剩余OPA光束,我们使用了三个截止频率为18 THz的低通滤波器,每个滤波器的带外阻挡都优于0.1%。
产生的太赫兹脉冲的频谱特征
非线性晶体中光整流产生的太赫兹频谱取决于有效生成晶体的长度和泵浦光谱。对于变压器限制的65 fs泵浦脉冲(半最大全宽)),理想的太赫兹光谱应该反射一个以5.7 THz为中心的光学整流频谱,半最大全宽9.5 THz。然而,DSTMS和OH1(大多数产生太赫兹的晶体)在这个范围内具有强烈显著地调制频谱的声子吸收。图2b显示了在DSTMS和OH1中产生的THz脉冲的振幅谱。光谱中强烈的特征反映了这个区域的声子共振。DSTMS在1.024 THz处有较强的吸收共振。在1-4 THz范围内,没有强共振。在4 THz以外,我们没有找到共振/线性特征的数据,但我们观察到一个强大的吸收4.9 THz左右,可能来自另一个共振(图2)。OH1显示更高的谱密度较低的频率会随着至少12 THz谱密度更广泛的传播。主要吸收共振发生在1.45 THz和2.85 THz。在这里,我们再次找不到关于更高频率共振的记录,但从我们的频谱中,我们预期共振在{4.9,6.3}THz附近。在截面输出脉冲特性方面,我们与以前的文献进行了比较。说明了虽然我们测量的探测器聚焦镜的f数不同,但主要光谱记录的NA几乎与本文讨论的相同。
光斑尺寸成像和校准
为了对太赫兹光斑的大小进行成像,我们使用了NEC公司的微测热仪摄像机。它是目前市场上最敏感的THz传感器。然而,制造商声明频率范围是1-7 THz,由于缺乏标准校准方法,基于评估和计算的结果没有保证。我们不知道它被使用在如此高的频率的任何记录。在从测量的能量估计峰值场时,我们考虑了脉冲主瓣的能量和脉冲持续时间(峰值场的半周)。
图7 太赫兹探测方案。DSTMS (a,b)测得的太赫兹与OH1 (c,d)的比较。蓝色曲线显示了使用EOS的测量结果。空气偏置相干探测测量用红色表示。对于OH1,用ABCD过滤掉较高频率(>3 THz)分量后再进行测量(黑色)。
太赫兹检测
在整个工作过程中,我们使用了两种不同的检测方案:ABCD和EOS。对于EOS,我们使用厚度为100 μm的间隙晶体。我们比较了50 μm的时间轨迹,得到了相同的轨迹,但我们使用了较厚的一个,以避免内部反射。两种技术测得的脉冲的比较如图7所示。
相关产品:
>>太赫兹滤波片
>>太赫兹相机
>>太赫兹晶体
>>太赫兹元件
- 上一篇:太赫兹频率上转换成像系统 2020/7/28
- 下一篇:太赫兹扫描成像系统应用于门板检测 2020/6/5